Делимость натуральных чисел
Tilda Publishing
Свойства делимости
Натуральное число a делится нацело на натуральное число b, если существует натуральное число c, при умножении которого на b получается a:

Если a делится на b, то говорят еще, что a кратно b.
Например, число 38 кратно 19.







a = c ∙b


Свойство 1. Если один из множителей делится на некоторое число, то и произведение делится на это число.

Например, 20 делится на 4, значит, и 20∙13 делится на 4, потому что 20∙13= (4∙5) ∙13 = 4 ∙ (5∙13).
Свойство 2. Если первое число делится на второе, а второе делится на третье, то первое число делится на третье.

Например, 555 делится на 111, так как 555=5∙111, а 111 делится на 3, так как 111=3∙37. Из этого следует, что 555 делится на 3, так как 555=3∙(37∙5).
Свойство 3. Если каждое из двух чисел делится на некоторое число, то их сумма и разность делится на это число.
Например, 114 делится на 6, так как 114=19∙6; 48 тоже делится на 6, так как 48=8∙6. Из этого следует, что 162 делится на 6, потому что 162=114+48=19∙6+8∙6=(19+8)∙6=27∙6.
Число 66 делится на 6, потому что 66=114-48=19∙6 - 8∙6=(19 - 8)∙6=11∙6.
Свойство 4. Если одно из двух чисел делится на некоторое число, а другое на него не делится, то их сумма и разность не делятся на это число.
Например, 121 делится на 41, так как 121=41∙3, а 52 не делится на 41. Очевидно, что сумма 121+52 и разность 121-52 не делятся на 41, иначе это противоречило бы свойству 3.
Tilda Publishing
Признаки делимости
Если число оканчивается цифрой 0, то оно делится на 10.
Например, число 7540 оканчивается цифрой 0, его можно представить в виде произведения 754∙10, которое делится на 10 (по свойству 1).
Число 7543 не делится на 10, так как 7543=7540+3 - сумма числа 7540, делящегося на 10, и числа 3, не делящегося на 10 (по свойству 4).
Если число оканчивается одной из цифр 0 или 5, то оно делится на 5.
Например, число 3450 делится на 5, так как это число делится на 10, а 10 делится на 5 (по свойству 2).
Число 3455 оканчивается цифрой 5, оно делится на , так как его можно записать в виде суммы (3450+5) чисел, делящихся на 5 (по свойству 3).
Число 61 не делится на 5, так как 61=60+1 - сумма числа 60, делящегося на 5, и числа 1, не делящегося на 5 (по свойству 4).
Если число оканчивается одной из цифр 0, 2, 4, 6, 8, то оно делится на 2.
Например, число 140 оканчивается цифрой 0, оно делится на 10, а 10 делится на 2, следовательно, 140 делится на 2 (по свойству 2).
Например, число 148 оканчивается цифрой 8, оно делится на 2, так как его можно записать в виде суммы (140+8) чисел, делящихся на 2 (по свойству 3).
Число 147 не делится на 2, так как 147=140+7 - сумма числа 140, делящегося на 2, и числа 7, не делящегося на 2 (по свойству 4).
Число, делящееся на 2, называют четным.
Число, не делящееся на 2, называют нечетным.
Если сумма цифр числа делится на 9, то и само число делится на 9.
Например, сумма цифр 4+2+7+5=18 числа 4275 делится на 9. Число 4275 делится на 9, потому что его можно представить в виде суммы
4∙1000+2∙100+7∙10+5=4∙(999+1)+2∙(99+1)+7∙(9+1)+5=(4∙999+2∙99+7∙9)+(4+2+7+5),
где сумма в первых скобках делится на 9, а во вторых скобках - сумма цифр данного числа - также делится на 9 (по свойству 3).
Число 251 не делится на 9, так как сумма его цифр 2+5+1=8 не делится на 9. Это можно доказать следующим образом: 251=2∙(99+1)+5∙(9+1)+1=(2∙99+5∙9)+(2+5+1),
где сумма в первых скобках делится на 9, а во вторых скобках - сумма цифр числа 251 - не делится на 9 (по свойству 4).
Если сумма цифр числа делится на 3, то и само число делится на 3.
Например, сумма цифр 2+5+2=9 числа 252 делится на 3 и оно само делится на 3, потому что
252=(2∙99+5∙9)+(2+5+2),
где сумма в первых скобках делится на 3, а во вторых скобках - сумма цифр числа 252 - также делится на 3.

Tilda Publishing
Простые и составные числа
Каждое натуральное число p делится на 1 и само на себя:

Простым числом называют такое натуральное число, которое больше единицы и делится только на 1 и само себя.
Вот первые десять простых чисел:

Наибольшего простого числа не существует​.
Предположив, что такое число


где
Число p не делится ни на одно из чисел





p : 1 = p, p : p = 1.
2, 3, 5, 7, 11, 13, 17, 19, 23, 29.
существует, Евклид построил число
- простые числа, предшествующие
а значит, либо оно само простое, либо делится на простое число q,
большее чем
.Полученное противоречие (
-наибольшее простое число и одновременно либо p, либо q - простое
число, большее
) доказывает ложность сделанного допущения и тем самым истинность утверждения Наибольшего
простого числа не существует.
Евклид
III в. до н.э.

Если число большое, очень трудно каждый раз определять, будет ли оно простым. Для облегчения составляют таблицы простых чисел. В этих таблицах простые числа расположены в порядке возрастания.
Пример такой таблицы.
Непростые натуральные числа, большие единицы, называют составными.
Каждое составное число делится на 1, само на себя и еще хотя бы на одно натуральное число.
Все составные числа, меньшие 20:

Принято считать, что единица не является ни простым, ни составным числом.
Таким образом, множество всех натуральных чисел состоит из простых чисел, составных чисел и единицы.

4, 6, 8, 9, 10, 12, 14, 15, 16, 18.
Tilda Publishing
Совершенные числа
Пифагор провозгласил, что числа правят миром. Поэтому ему пришлось придумывать, как с помощью чисел изображать такие понятия, как справедливость, совершенство, дружба.
  • Число 4 - справедливость, т.к. оно является первым произведением двух равных сомножителей (4=2´2)
  • Число 10 – это весь мир, т.к. оно состоит из суммы четырех элементов (10=1+2+3+4), которые как считали пифагорейцы это огонь, земля, вода и воздух. Число 10 они называли «превосходным» и «корнем вечной природы»
  • Именно Пифагором и его учениками были выявлены совершенные числа, т.е. это такие числа - равные сумме своих делителей. Уже во времена Пифагора были найдены такие совершенные числа как 6,28,496.
Чтобы изобразить совершенство, Пифагор принялся за делители чисел. Делитель числа назвали правильным, если он меньше самого числа. Все правильные делители числа Пифагор складывал. Если сумма делителей оказывалась меньше числа, то число объявлялось недостаточным, а если больше − избыточным. А если сумма делителей в точности равнялась числу, то число объявляли совершенным.

Евклид указал формулу для вычисления четных совершенных чисел:
Русский математик Л. Эйлер доказал утверждение, указанное Евклидом.
Не решенная до сих пор проблема: существуют ли нечетные совершенные числа?

Пифагор Самосский
ок. 580 до н.э.

Tilda Publishing
Дружественные числа
Похожим образом, Пифагор и его ученики, изображали числами дружбу − два числа называли дружественными, если каждое из них равнялось сумме делителей другого числа.
  • Дружественные числа открыли последователи Пифагора, которые, знали только одну пару таких чисел - 220 и 284.
Давайте проверим, что «дружат» числа 220 и 284.
Делители 220: 1; 2; 4; 5; 10; 11; 20; 22; 44; 55; 110; 220.
Сумма правильных делителей числа 220:

Делители числа 284: 1; 2; 4; 71; 142; 284.
Сумма правильных делителей числа 284.


Вывод: Да, 220 и 284 дружественные числа.
  • Примерно в 850 году арабский астроном и математик Сабит ибн Корра нашёл способ получения дружественных чисел, который звучит на современном языке так:
Если для натурального числа n > 1 все три числа:


являются простыми, то числа



образуют пару дружественных чисел.
  • Вторую пару – по величине – пару дружественных чисел (1184 и 1210) нашел шестандцатилетний итальянец Николо Паганини.
  • Вторую пару – не по величине, а по календарному времени – дружественных чисел: 17 296 и 18 416 – открыл марокканский ученый ибн аль-Банна (ок. 1300 года).
  • Третью пару открыл Рене Декарт в 1638 году.
Русские математики, занимающиеся поисками дружественных чисел:
  • Леонард Эйлер искал дружественные нечетные числа. Среди его «трофеев» оказались и пары нечетных дружественных чисел вида


1 + 2 + 4 + 5 + 10 + 11 + 20 + 22 + 44 + 55 + 110 = 284.
1 + 2 + 4 + 71 + 142 = 220.
где р, q, r – простые числа.


Он выполнил вычисления и преподнес ровно 59 пар дружественных чисел, в том числе из нечетных чисел (например, 69 615 и 87 633).
  • Пафнутий Львович Чебышёв в 1851 году нашел еще одну пару дружественных чисел.


Леонард Эйлер
1707 – 1783 гг.

Ученые, которые побили рекорд Эйлера через 200 лет:
Бельгиец Поль Пуле – 62 новые пары, к 1948 году.
Американец Элвин Дж. Ли – 300 пар за период с 1968 по 1972 годы.
Компьютерная эра
На апрель 2016 года известно более 1 000 000 000 пар дружественных чисел. Все они состоят из чисел одной чётности.

Tilda Publishing
Решето Эратосфена
Решето Эратосфена – метод отсеивания составных чисел, при котором последовательно вычеркиваются числа, делящиеся на 2, 3, 5, и т.д.: первое число, остающееся после каждого этапа, является простым.
Найдем все простые числа между 1 и 50.

Лишь в XIX в. Великий русский математик Пафнутий Львович Чебышёв открыл формулу, позволяющую приближенно подсчитать простые числа на любом участке натурального ряда.

Эратосфен
III в. до н.э.

Tilda Publishing
Делители натурального числа
Если натуральное число a делится на натуральное число b, то число b называют делителем числа a.
Например, делителями числа 7 являются числа 1 и 7, делителями числа 6 - числа 1, 2, 3, 6.
каждое простое число имеет только два делителя - единицу и само себя, а каждое составное число, кроме единицы и себя, имеет и другие делители.
Если делитель - простое число, то его называют простым делителем.
Например, число 7 имеет простой делитель 7, число 6 - простой делитель 2.
Каждое составное число можно представить в виде произведения его простых делителей.
Например:



Правые части полученных равенств называют разложением на простые множители чисел 36, 22 и 100.


36 = 2∙2∙9 =
;
22 = 2∙11;
100 = 2∙2∙5∙5 =
.
Разложить данное составное число на простые множители - значит представить его в виде произведения различных его простых делителей или их степеней.
Например, разложим число 140 на простые множители.
1) 110 делится на 2, 140:2=70;
2) 70 делится на 2, 70:2=35;
3) 35 не делится на 2 и не делится на 3, но делится на 5, 35:5=7;
4) 7 не делится на 5, но делится на 7, 7:7=1.
Таким образом, 140=2∙2∙5∙7=
Решение этой задачи коротко записывают так:
140
70
35
7
1
∙5∙7.
2
2
5
7
140=2∙2∙5∙7=
∙5∙7.
Все делители числа 140 можно получить из разложения числа 140 на простые множители. Для этого надо взять каждый из простых делителей числа 10, их всевозможные произведения, содержащие не больше двух множителей 2, одного множителя 5 и одного множителя 7. И еще надо добавить множитель 1. Получатся все делители числа 140:
1, 2, 5, 7, 2∙2=4, 2∙5=10, 2∙7=14, 5∙7=35, 2∙2∙5=20, 2∙5∙7=70, 2∙2∙5∙7=140.
И других делителей у числа 140 нет.
Tilda Publishing
Наибольший общий делитель
Число 16 имеет делители 1, 2, 3, 4, 8, 16. Число 60 имеет делители 1, 2, 3, 4, 5, 6, 10, 12, 15, 20, 30, 60. Мы видим, что числа 16 и 60 имеют общие делители 1, 2, 3, 4.
Наибольшим общим делителем чисел 16 и 60 является число 4.
Наибольший общий делитель чисел a и b обозначают: НОД (a,b).
Например, пишут: НОД (16, 60)=4.
Рассмотрим пример: найти НОД (150, 240).
Разложим числа 150 и 240 на простые множители:
150
75
25
5
1
2
3
5
5
240
120
60
30
15
5
1
2
2
2
2
3
5
Итак, 150= 1235∙5=1∙2∙3∙5 ;
240= 12∙2∙2∙2∙35=1∙2∙3∙5.
В разложении чисел 150 и 240 выделены красным цветом все их общие делители, поэтому НОД (150,240)= 1∙2∙3∙5=30.
Числа, не имеющие общих простых делителей, называют взаимно простыми числами.
Наибольший общий делитель взаимно простых чисел равен 1.
Два различных простых числа (например, 13 и 19), а также два соседних натуральных числа (например, 24 и 25) являются взаимно простыми.
Если одно из двух чисел делится нацело на другое, то наибольший общий делитель этих чисел равен меньшему из них. Например, 16 делится на 4, следовательно, НОД (16,4)=4.
2
4
Tilda Publishing
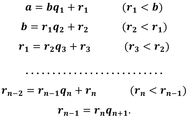
Алгоритм Евклида
Наибольший общий делитель (НОД) двух чисел можно находить, применяя алгоритм Евклида.









Остатки образуют убывающую последовательность целых неотрицательных чисел r,r ,r , ... ,r , а, следовательно, этот процесс конечен.
Рассмотрим пример. С помощью алгоритма Евклида найдем наибольший общий делитель чисел 661 и 113.
661=113∙5+96
113=96∙1+17
96=17∙5+11
17=11∙1+6
11=6∙1+5
6=5∙1+1
5=1∙5+0


1
2
3
n
Так как здесь последний остаток, отличный от нуля, - 1, то НОД (661,113)=1.
Tilda Publishing
Наименьшее общее кратное
Число, делящееся на 9, называют кратным числу 9. Числу 9 кратны числа 9, 18, 27, 36, 45, 54, 63, 72, 81, 90, 99, 108, 117, 126, 135 и т.д.
Числу 15 кратны числа 15, 30, 45, 60, 75, 90, 105, 120, 135, 150 и т.д.
Мы видим, что имеются числа. кратные одновременно 9 и 15. Эти числа выделены красным цветом. Такие числа называются общими кратными чисел 9 и 15.
Наименьшим общим кратным натуральных чисел a и b называют наименьшее натуральное число, делящееся нацело на каждое из чисел a и b. Это число обозначают: НОК (a,b).
Наименьшее общее кратное двух чисел обычно находят одним из двух способов. Рассмотрим их.
Найдем НОК (42, 63).
1 способ. Будем выписывать числа, кратные 63 (большему из данных чисел), проверяя, делится ли каждое из них на 42:
63∙1=63 - не делится на 42,
63∙2=126 - делится на 42, поэтому
НОК (42,63)=126.
2 способ. Разложим числа 42 и 63 на простые множители:

НОК (42,63) должно делится и на 42, и на 63. Поэтому искомое число содержит все простые делители большего числа 63 (т.е. числа 3, 3, 7) и еще множители из разложения меньшего числа 42, которых нет в разложении большего числа (т.е. еще одно число 2). Поэтому

Так как взаимно простые числа не имеют общих простых делителей, то их наименьшее общее кратное равно произведению этих чисел. Например, 24 и 25 - взаимно простые числа. Поэтому

Если одно из двух чисел делится нацело на другое, то наименьшее общее кратное этих чисел равно большему из них. Например, 90 делится нацело на 15, следовательно, НОК (90,15)=90.

42=2∙3∙7, 63=3∙3∙7=3 ∙7.
2
НОК (42,63)=2∙3∙3∙7=126.
НОК (24,25)=24∙25=600.
Tilda Publishing
Использование четности при решении задач
Для решения задач используются свойства чётности:
1. Сумма двух чётных чисел чётна.

Сумма чётного и нечётного чисел – нечётна.

Сумма двух нечётных чисел - четна.

2. Сумма любого количества чётных чисел - чётна.

3.Сумма чётного числа нечётных чисел - чётна, сумма нечётного числа нечётных чисел - нечётна.

4. Сумма нескольких целых чисел чётна тогда и только тогда, когда среди них чётное число нечётных чисел.

5. Разность двух чётных чисел чётна. Разность двух нечётных чисел чётна. Разность чётного и нечётного чисел в любом порядке – нечётна.

6. Разность двух чисел имеет ту чётность, что и их сумма.


7. Если один из множителей - чётное число, то и произведение чётно.

8. Если все множители нечётны, то и произведение нечётно.


2 + 2 = 4
2 + 3 = 5
1 + 1 = 2
3 + 2 = 5 и 3 - 2 = 1 – оба нечётны.
2 ∙ 5 = 10
5 ∙ 3 = 15
Использование идеи четности позволяет решать разнообразные задачи, в условии которых ничего не говорится о четности.
Задача 1. Можно ли разменять 20р. семью монетами, достоинство каждой из которых 1р. или 5р.?
Решение.
Если взять любые две монеты, то получится чётное число рублей:

Поэтому любые шесть монет дают чётное число рублей. Если же добавить седьмую монету (достоинством 1р. или 5р.), то получится нечётное число рублей. Следовательно, 20р. нельзя разменять семью монетами по 1р. и 5р.
В рассмотренной задаче требуется четное число (20) представить в виде суммы нечетного числа (7) нечетных слагаемых (1 и 5). Сделать это невозможно, как и было показано в решении.

Задача 2. Имеется 13 палочек. Некоторые из них разломили или на 3, или на 5 частей. Затем некоторые из палочек опять разломили или на 3, или на 5 частей, и так несколько раз. Можно ли после нескольких таких операций получить 100 палочек?
Решение.
Здесь не сказано, сколько палочек разламывали на части каждый раз и на сколько именно частей, поэтому перебор всех возможных вариантов довольно сложен.
Если одну палочку разломить на 3 части, то палочек станет на 2 больше, а если одну палочку разломить на 5 частей, то палочек станет на 4 больше. Разламывая палочку или на 3, или на 5 частей, мы увеличиваем их общее число или на 2, или на 4 палочки, т.е. на чётное число палочек.
Первоначальное число палочек 13 – нечётное, а, добавляя к нему каждый раз чётное число палочек, невозможно получить чётную сумму 100, т.к. сумма нечётного и чётного чисел нечётная.



1 + 1 = 2, 1 + 5 = 6, 5 + 5 = 10.

e-mail us: numbertheory@bk.ru
Made on
Tilda